京都医塾数学科の石井田です。
今日は、京都医塾で実際に行われている朝計算テストについて紹介させていただきます。
あなたは受験に必要な“計算力”がどのようなものかご存知でしょうか。今日は、“計算力”についての理解を深めながら、京都医塾の朝計算テストを体験してみてください。
“計算力” ってなに??
実は、一口に“計算力”といっても、大きく2つの能力に分かれます。
1つ目は、小学生のころから触れてきた“四則演算の力(算数力)”(注1)が挙げられます。これは、多くの方がイメージする“計算力”ではないでしょうか。当然、大学入試でも四則演算の速度、精度はあればあるほど良いので、京都医塾でもたくさんの訓練をしてもらうことになります。しかし、この力は幼少の頃の訓練量によるところが大きく、受験勉強をスタートしてから差を縮めることが簡単ではない力なのです。そこで、京都医塾では2つ目の力に注目しています。
京都医塾で注目している“計算力”、2つ目の能力は“数式変形の力”です。これは、前述した“計算力”が高い生徒さんもないがしろにしがちな力です。
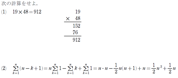
以下の計算を見てみましょう。

軽やかに計算しているように見えますが、実は、この変形は非常に遠回りの計算です。
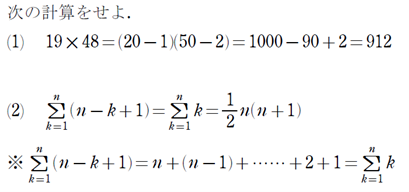
京都医塾では、以下のように計算できるように指導しております。

前者の計算をする受験生と、後者の計算をする受験生の違いは、決して“算数力”ではありません。“数式変形の力”を正しくつけていくことで、“算数力”が高い受験生ですら、スピードで上回ることが可能です。(実は、“計算力”が高い受験生は、“計算力”=“算数力”と思っていることが多く、力技で遠回りの計算をしていることが多いです。)
(注1) ・・・四則演算…足す・引く・掛ける・割るの4つの演算のこと。
まとめ
“数式変形の力”は、算数の工夫や因数分解のように、工夫を意識した訓練を積む必要があるものもあれば、Σ計算のように、式の意味を正しく理解している必要があるものもあります。いずれにしても、京都医塾では『絶対基礎』を軸に、わからないところから丁寧に指導することに努めております。先程の計算問題も、『朝計算テスト』と呼ばれる京都医塾オリジナルの計算テストの抜粋であり、日々計算訓練を行うシステムになっております。
京都医塾ではご相談・体験授業を随時募集しています。下記リンクからお気軽にお問い合わせください。
